Biotin-C5-Mal(生物素-C5-马来酰亚胺)是一种结合生物素与马来酰亚胺基团的化学试剂。
化学性质:
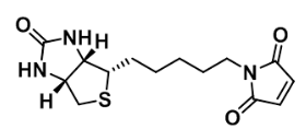
生物素部分:
生物素是一种小分子维生素B族成员,因其与生物素受体的高亲和力而被广泛用于生物研究中,尤其是作为分子标记物。
马来酰亚胺部分:
含有双键的官能团(-C=C-CO-NH-),具有与巯基(thiol)特异性结合的能力,可以在不影响其他官能团的情况下进行化学修饰。马来酰亚胺基团还具有荧光猝灭能力,可作为荧光探针用于硫醇分析物的特异性检测。
C5连接臂:
由5个亚甲基组成的柔性链,提供空间灵活性,减少生物素与马来酰亚胺基团之间的相互干扰。
基本参数:
中文名:生物素-C5-马来酰亚胺
英文名:Biotin-C5-Mal,Biotin-C5-Maleimide
分子式:C14H19N3O3S
分子量:309.38
规格标准:1g、5g、10g
试剂厂家:陕西新研博美生物科技有限公司
结构式:
相关应用:

蛋白质标记:
通过与半胱氨酸残基反应,将生物素引入目标蛋白,便于后续分离、纯化及检测(如Western blot、ELISA)。
标记目标蛋白后,利用C5连接臂的灵活性,使生物素更易与亲和素结合,提高相互作用蛋白的捕获效率,且不影响蛋白间结合作用。
抗体修饰:
标记治疗性抗体的游离巯基,减少生物素对抗原结合位点的空间遮挡,保持抗体活性,助力抗体药物偶联物(ADC)研发。
用于抗体的标记和修饰,以便在免疫分析和检测中使用,提高检测的灵敏度和特异性。
酶标记:
标记含巯基的酶,减少对酶活性中心的影响,提升酶联免疫检测灵敏度。
细胞标记与成像:
标记细胞表面标志物(如受体、抗原),实现细胞分选、成像及功能分析(如流式细胞术、荧光显微镜🔬观察)。
药物递送系统:
通过生物素受体介导的细胞摄取,实现药物的精确传递和释放,增加药物的稳定性和靶向性。
生物传感器:
在生物传感器中,用于特定生物分子的检测和分析,如利用生物素与亲和素的特异性结合来检测目标分子。
硫醇分析物检测:
利用马来酰亚胺基团的荧光猝灭能力,作为荧光探针特异性检测硫醇分析物(如谷胱甘肽)。
注意事项:
纯度标准95%+
保存建议:避免反复冻融,避光保存,储液应该立即使用,任何未用的溶液分装小份冷冻于 < -20
注意事项:仅用于科学研究
相关试剂(部分):
Methyltetrazine-C12-Maleimide
SCO-PEG8-Maleimide
Palmitic-Maleimide
Mal-PEG3-acid
MAL-PEG2000-COOH
D-Desthiobiotin-Maleimide
Bis-Mal-amido-PEG7
Mal-PEG10-propargyl
Bis-maleimides-amine TFA salt
Maleimide-SS-amine
DPPE-PEG9-MAL
CyOH-Mal-Cholesterol
Lipoamide-PEG4-Mal
SCO-PEG11-Maleimide
PC Mal-NHS carbonate ester
上述信息均由陕西新研博美生物科技有限公司的小编 XYBMWD所整理




